Weed Control J 2021; 20: e202100739
Seletividade de herbicidas com atividade residual em cebola cultivada em semeadura direta
DOI: 10.7824/wcj.2021;20:00739
Resumo:
Introdução
O sistema de semeadura direta pode ser uma alternativa para reduzir custos e mão-de-obra na produção de cebola, pois não requer as etapas de produção e transplante das mudas. No entanto, esse sistema resulta em uma interferência precoce das plantas daninhas, alongando o período crítico de prevenção à interferência.
Objetivo
Avaliar a seletividade de aplicações de herbicidas com atividade residual em cebola.
Métodologia
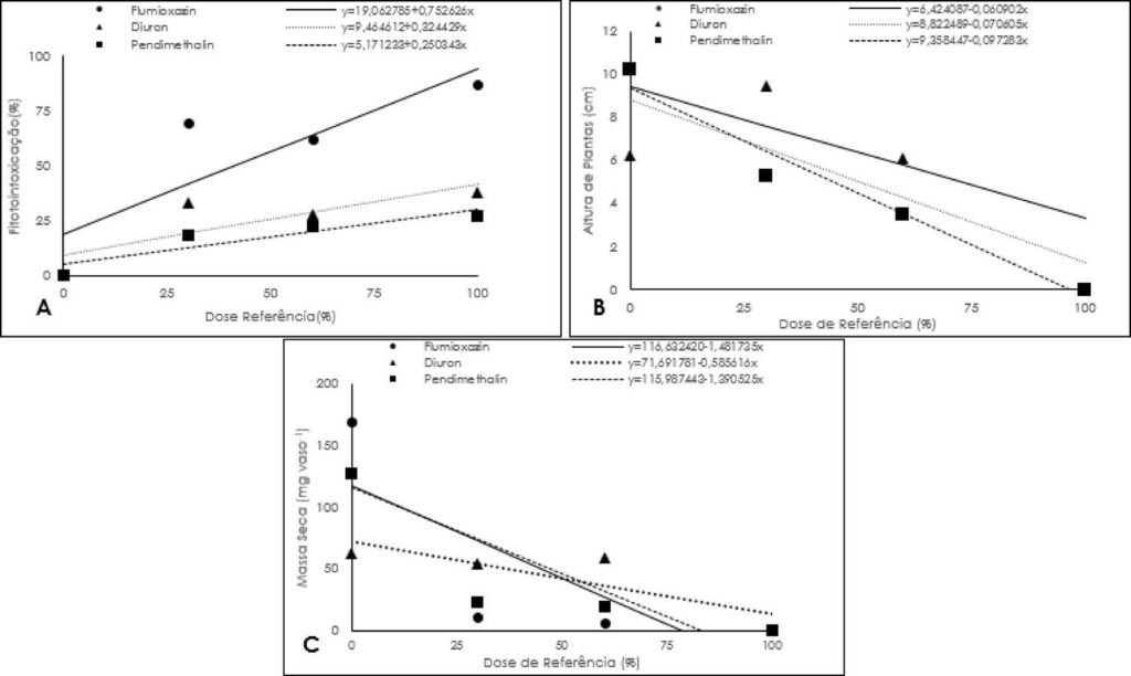
três estudos foram realizados em casa de vegetação. O primeiro conduzido em esquema fatorial 5 x 4, avaliando os herbicidas flumioxazin, oxadiazon, oxyfluorfen, pendimethalin e diuron em 0, 30, 60 e 100% da dose de referência do herbicida. No segundo estudo, dois herbicidas, pendimethalin e diuron, foram aplicados em três estádios de desenvolvimento da cebola: pré-emergência total com aplicação após a semeadura, aplicação no final da germinação, 15 dias após a semeadura e aplicação no estabelecimento da cebola, aos 21 dias após a semeadura. Um terceiro experimento foi realizado comparando a seletividade do S- metolachlor à cebola.
Resultados
A aplicação de herbicida na fase de estabelecimento da cebola foi mais seletiva. Os herbicidas oxadiazon, oxyfluorfen e flumioxazin não apresentaram uso potencial na aplicação inicial devido à alta fitotoxicidade.
Conclusão
A aplicação de pendimethalin e S-metolachlor no final do estabelecimento da cebola foi seletiva e mais uma alternativa ao controle de plantas daninhas no sistema de produção de cebola por semeadura direta.
Palavras-chave: Allium cepa; Controle de plantas daninhas; técnicas de aplicação
1.091

