Weed Control J 2023; 22: e202300777

Performance de herbicidas na dessecação pré-colheita de cultivares de soja

Weverton F. , Adalbert Horvathy , Alessandro G. da , Alessandro L. , Guilherme B. P. , Adriano , Adriano

DOI: 10.7824/wcj.2023;22:00777

Resumo

Introdução

A dessecação de pré-colheita tornou-se comum no cultivo de soja, principalmente pela necessidade de antecipação da colheita para grãos ou sementes. Contudo, existem poucos herbicidas registrados para esta prática, podendo ainda apresentar efeitos distintos conforme a região de cultivo da cultura.

Objetivo

Diante disto, este trabalho teve o objetivo de avaliar os efeitos de herbicidas nas características agronômicas e na qualidade fisiológica das sementes de soja em duas importantes regiões produtoras do Brasil.

Métodos

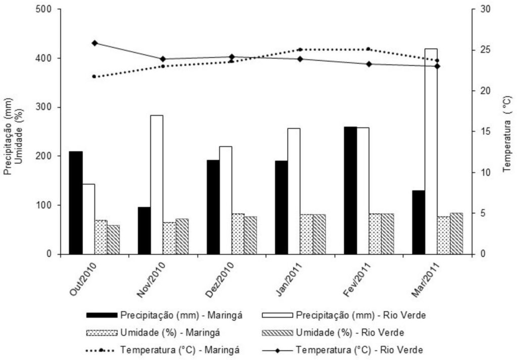
Os experimentos foram conduzidos em Rio Verde, Goiás e Maringá, Paraná. Os tratamentos foram constituídos pela aplicação dos herbicidas 2,4-D, atrazine, glufosinate e paraquat, acrescido da testemunha, aplicados na maturidade fisiológica das cultivares de soja BRS 7560®, M-Soy 6101®, NK 9070 RR®, BMX Potência RR®.

Resultados

Os resultados obtidos permitiram notar que os herbicidas não influenciaram a produtividade de grãos e os componentes de produtividade, além dos mesmos serem eficazes em antecipar a desfolha das plantas em ambas as localidades. Além disto, as cultivares de soja tiveram a germinação e o vigor das sementes influenciado diferentemente pelos herbicidas.

Conclusões

Os herbicidas atrazine, 2,4-D, paraquat e glufosinate não influenciaram a produtividade de grãos e foram eficazes em antecipar a desfolha das plantas em ambos os locais experimentais.

Performance de herbicidas na dessecação pré-colheita de cultivares de soja

Comentários